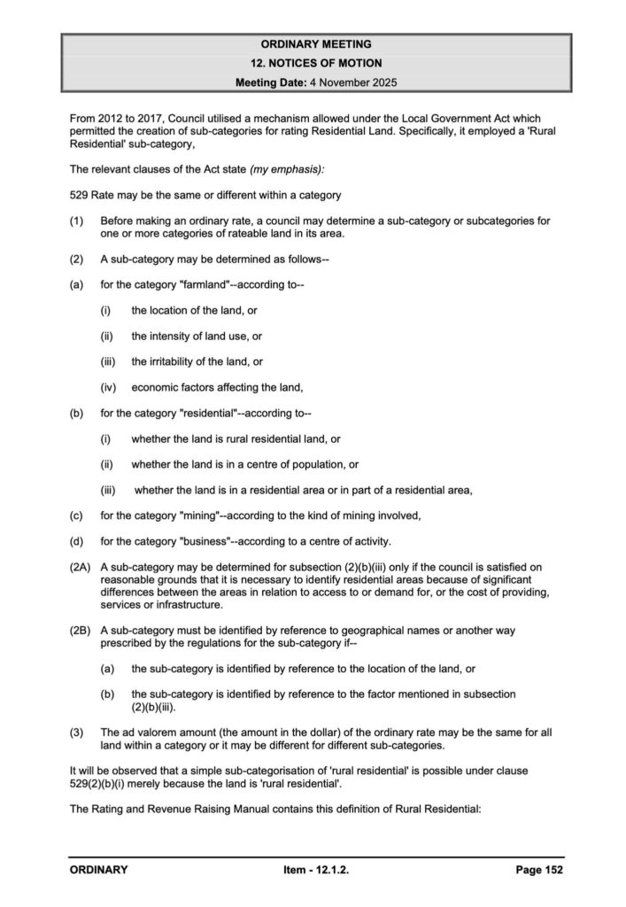
Oakville Public School pedestrian and traffic safety improvements a step closer
Update: At the Council meeting I brought these matters to the Chamber's attention and sought action. The disappointing result is on show in the below video of this part of the meeting.
If you want to know what Oakville locals thought of the quality of the debate, then see this post on the Oakville Facebook page.
The business paper just published for next week’s Council meeting contains a significant update for those in the Oakville community.
I have been fighting for upgrades to the footpaths, parking, traffic and pedestrian safety around Oakville Public School for many years. Congestion has been worsened by the influx of people and vehicles since the school became a transport interchange for students from other schools. The school has swelled with students coming Hills Shire suburbs like the Gables from east of Boundary Road. This will remain the case until a new Primary school is built there, easily still over a year away.

Below is an email I sent Council staff over five years ago. I drew maps pointing out the lack of footpaths. I asked for costings. I implored that these works be put on our capital works program.

In parallel, many thanks are due to the advocacy of the school under successive Principals, the Oakville PS P&C, and Jane Soper its President.
The new development I am pleased to report is that detailed costings and engineering plans have finally been completed in an effort to make the project “shovel ready”. They have been endorsed by our local traffic committee, and parts are already funded.
Here is the Agenda of the Local Traffic Committee from its meeting of Monday 9 February 2026 containing the report and recommendations (which were passed).
Here is the document with the detailed maps and engineering drawings that accompanied the Report: "AT8toItem4.1.2. - School Safety Treatments Fronting Oakville Public School Concept Plans, Proposed Treatment Plans and Median Island Stop Treatment Plans".
The bad news is that the most needed parts of this plan remain unfunded unless I can persuade my colleagues to prioritise it for the 2027-2028 budget.
An upgrade to intersection of Oakville, Ogden and Hanckel Road will be funded under the Federal blackspot program. This will include new median strips with pedestrian refuge islands.

Extending kerb and guttering on the school sides of both Ogden Road and Oakville Road has been provisionally costed at $155,000 and is unfunded.
Creating new kerb and guttering on the opposite sides of both Ogden and Oakville Roads have been provisionally costed at $250,000 and is unfunded.

1.5m footpath works to fill in the gaps between the existing footpaths and extend down the school side of Oakville Road have been provisionally costed at $80,000 and is unfunded.


I attended Oakville school, as did my sister, my son, and currently both my Nephews. Our family's association with the school goes back to 1978.
I will continue to advocate for these works. I am told that these plans make it easier for Council to make the case for grant funding.
Highlights from the report just made public include:
• "There is generally poor differentiation between unpathed pedestrian areas, along the school frontage and the edge of the roadway, which is a potential source of conflict between pedestrians and vehicles accessing the parking at these locations.
• There is an absence of No Stopping signage to reinforce the mandatory No Stopping zone at the intersection of Ogden and Oakville Roads. The implementation of this signage may assist in clarifying where vehicles can and cannot be parked in proximity to the intersection.
• Some parents and carers began to arrive in the PM peak as early as 2:30pm to pick up children at 3:15pm when the school bell goes. During the time immediately following the afternoon school bell, queuing was observed in the northbound direction on Oakville Road approaching the intersection with Ogden Road. Most traffic had cleared by 3:30pm.
• Parking on both Ogden Road and Oakville Road, during afternoon peak, is at full capacity in all directions by 3pm and extends well beyond the limits of the School Zone signage at each frontage. Parent parking along Hanckel Road, east of the intersection with Oakville Road, and further north on Oakville Road itself (north of the intersection with Hanckel Road) was also observed. Parking within the verge areas forces some students to walk along the road, adjacent to the parked vehicles.
• Whilst numbers of pedestrians were observed to cross Ogden Road the pedestrian movements were diffuse in nature, with parents accompanying their children in the direction of their parked vehicle rather than crossing at any observable desire line. As a result, a centralised crossing facility on Ogden Road was not recommended in the independent assessment as it is likely to be underutilised, with most pedestrians likely to continue crossing the road in locations nearest to their parked vehicles. Additionally, inclusion of pedestrian facilities would result in the loss of approximately 35m of parking on each side of the road.
• The continual northbound flow of traffic, on Oakville Road, which occurs between 3:15pm and 3:30pm in the PM peak and is impacted by vehicles that have departed Arndell Anglican College at 3:10pm, leaves little opportunity for pedestrians to cross Oakville Road at the identified pedestrian desire line being Oakville Road at the intersection of Ogden / Hanckel Roads. Figure 7 outlines the location at Ogden Road near Hanckel Road for installing traffic islands with pedestrian refuge facilities to assist safe pedestrian crossing and improve traffic.
Happy 215th Birthday to the Hawkesbury!
Happy birthday, Hawkesbury! Recently we celebrated the 215th anniversary of Governor Lachlan Macquarie proclaiming the names and locations of what we now know as the "Five Macquarie Towns". Members of the Hawkesbury Historical Society and the Defenders of Thompson Square met at the equally historical Macquarie Arms hotel to hear an extract from Macquarie's diary of that day and to hear from national treasure and President of the Society, Jan Barkley-Jack explain the hidden significance and genius of Macquarie's legacy. Thanks to Pat Schwartz for her organisation.
Interview on Hawkesbury Radio - December 2025
Shaun Williams, presenter at the "Common Point" program at Hawkesbury Radio told me we were overdue for a chat. I thought this was a good opportunity to recap the year on Council. We covered a lot of territory! I'll be breaking this up in to more digestable fragments over the Christmas / January break.
00:00:00 – Hawkesbury City Council's Special Rate Variation.
00:08:18 – My motion on Rating Fairness passes the Chamber.
00:12:39 – The Future of Oakville, Maraylya and Vineyard.
00:17:31 – Council's Lack of Vision in Strategic Planning.
00:19:43 – Population and Immigration Policy must play a role.
00:22:19 – Recognition of Overseas Qualifications.
00:25:22 – Australia's Reckless Addiction to Growth.
00:27:15 – The Transition to Renewable Energy and Solar.
00:34:32 – The Financial Burden of Cost Shifting to Local Government.
00:41:57 – The WestInvest Dilemma and Richmond Pool. Should Council take on $30M more debt to build it?
00:47:54 – Windsor Mall - less than we hoped for. Simon’s café and the mall gardens.
00:55:27 – The stupidity of Labor’s new “Code of Meeting Practice” for Councils.
01:00:14 – Why “Scoping Proposals” Favour Developers and Damage Public Accountability.
01:05:23 – The Redbank Development. 01:11:39 – Local Entrepeneurship.
01:15:37 – The responsibilities of the elected Chamber.
1:16:46 – Good News Stories - The Restoration of the Oldest Bridge on the Australian Mainland.
1:20:30 – Good News Stories - Council Runs Amazing Events.
1:21:49 – Social Media and Cynicism Towards Government.
Hawkesbury Council's 39% Rate Hike
At its November 2025 meeting Hawkesbury Council decided in an 7:4 vote to hike everyone's rates by 39.4% over four years.
I voted against it, like I voted against the last rate hike in 2017 which was for 31.3% over three years. This means that between 2018 and 2029 Council will have lifted rates above the rate peg for 7 of those 11 years.
There's a lot to unpack here, but I'd like to make the distinction between the amount of the rate rise and the limitations Council faces in ensuring that the distribition of the way we spread taxes is fair.
At our October meeting I brought a motion about commissioning Council to produce a report on 'rating fairness', and particularly to emphasise 'horizontal equity' - a term used to economists to mean "If two people have the same access to services and possess similar demographic circumstances then they should pay.

This is something I have been explaining to people for many years.
The anger expressed by Hawkesbury ratepayers about the proposed Special Rate Variation (SRV) comes in part from a belief that the rating burden is not spread fairly throughout the district. I was pleased that a majority of Councillors supported a motion I brought which asks Council to look at the fairness issue, and honour the principles of the guidance documents that the State Government require us to follow when setting rates.
When it came to the vote on the SRV itself, I supported an amendment that sought to defer a decision on any SRV until late 2026, and that the time between now and then would be gainfully spent examining Council's expenditures and other ways of funding its programs. This amendment was defeated and the SRV was passed.

The key facts you should know are:
💰 It was the most expensive of the four options tabled, save that it will be rolled out over 4 years instead of 3.
📆 The last SRV finished its rollout only four years ago, yet was billed as the thing that would "fix" Council's finances.
🙅♂️ Among the reasons why I voted against it was that Council has not done the work it should have to do a root-and-branch review of our operations, including over road repairs and finding other sources of income, before declaring this as a 'last resort' option. 💡 People will say the amendment Councillor Mike Creed brought merely delayed a decision. Wrong: It may have led to solutions that would not have necessitated a rise quite this big.
👍🏻 People say that the vote wasn't to finalise the hike and that IPART has the last word. Unlikely: IPART is overwhelmingly likely to rubber stamp what Council is now sending them.
🚧 Worse, the SRV information presented to the public deliberately omitted a capital works program which for example could have named specific roads. The list exists – I've seen it. This would have permitted ratepayers to see which assets in which suburbs would have benefitted from an accelerated program of maintenance. This is something we regarded as critical to bringing people with us on the last SRV. No wonder people failed to see the value or necessity of it; we failed to lay it out clearly enough.
🥧 Still pending of course will be the results of the motion I passed last month about improving the formula which determines whether rates across property-types are fair. Remember: the SRV is the size of the pie, the formula is the proportion of each slice, which I think is out of whack. 🗳️ When I was a member of the Liberal party I upheld its values including that governments should tax less, tax fairly, and always seek to reform the system itself. I was disappointed to see some Liberals both completely out of touch and split on this critical issue.
The Australian Local Government Assembly 2025 (and why our funding model is broken!)
I've spent time this week at the Australian Local Government Association National Government Assembly down in Canberra.
It's a great opportunity to hear speakers and trade ideas about what works in Local Government. I was grateful for some release from my teaching work to go down and take place.
The highlight for me was being able to confront the Federal Minister for Local Government, Kristy McBain about the growing shortfall of funding Local Governments are facing and how this has deteriorated over the years. My question is in this video. If you want the Ministers' condescending reply it's also here at my YouTube
(pls 👍🏻 + subscribe + 🔔) #NGA25
The Refurbishments to Windsor Mall
I recently took the opportunity to walk through the whole of the refurbished Windsor Mall and the video is here. Now the work is substantially done, I have to say it's looking amazing.
New sandstone flagstones greatly exceeds the original sandstone; the sponsored pavers are now proudly on display. The garden beds are now being planted with a range of attractive species. One concern I've heard a lot of concerns space for markets. Don't worry. There is still plenty of space for the markets! The layout is... different, but the gardens don't dominate which is the impression you might get from a single photo. Yes, there have been some changes to alfresco dining, but what I observed still gives space to those anchor tenants like Simon's Cafe or Second Home Cafe.
I met again with Harry from Simons and we discussed how other spaces close to the cafe such as near Loder House can be made available and I continue to advocate in that regard.
Does Dressage have a future at Hawkesbury Showground?
This week I was a signatory to call rare extraordinary meeting of Council to address a dispute between the Hawkesbury District Agricultural Association, Dressage NSW and Equestrian NSW.
The HDAA have for many decades leased the showground from Council to manage and improve the site and run numerous events, the biggest being the Hawkesbury Show. Their current lease runs until 2034. Council legally acts as the "Crown Land Managers" but have traditionally respected the judgement of the HDAA to run matters, including (in this case) the sub-leasing/sub-licensing of facilities to other groups.
Dressage NSW's most recent 10-yr license of the dressage arenas, comprising 8% of the showgrounds commenced in 2015 and expires on 30 June. Dressage NSW declared they did not wish to continue as the licensee but Equestrian NSW (a larger organisation) said they would. HDAA have thus far refused, insisting that the dressage arenas be demolished.
I have met with both sides at length, including visiting the dressage site at Clarendon. With the very greatest of respect for the HDAA, I believe they are wrong. Forceful personalities have resulted in an impasse. I implore both sides to come to an amicable agreement. The motion advanced by myself, Councillor Mary Lyons-Buckett and Councillor Danielle Wheeler asks the HDAA to halt any demolition for 60 days until further negotiations can occur, and to clarify Council's prerogatives as Crown Land Managers.
This motion passed unanimously. Councillors Sarah McMahon, Shane Djuric and Jill Reardon were absent for the vote. My remarks are here. The full debate is online.
Vivid 2025 - Sydney's Amazing Festival of Lights
What a wonderful city we live in! Vivid Sydney has been just amazing this year, covering multiple sites and showing off our city’s architecture old and new. This is my tribute to VIVID, which we did in perfect weather! #vividsydney
Dual Occupancy - Approved in principle! (Labor opposes)
June 2025
At Council’s marathon June meeting that went until past midnight, and with a full and very patient gallery who waited for three hours for this item to be debated, Council approved my Notice of Motion to permit Detached Dual Occupancies after seven years of delay and disappointment with our moribund LEP process. There’s some way to go yet. The proposal now needs to be presented to the local Planning Panel, the State government’s gateway process, and be placed on public exhibition. Despite this, staff admit that this change may still beat the LEP to the finish line, which is precisely my intention. Thanks to the passionate public speakers, and to my colleagues who endorsed this almost unanimously, with the exception of the Labor Councillor Amanda Kotlash.
August 2025 Update
After some work by Council staff, we dispatched the ‘Planning Proposal’ I advanced at the June meeting to give landowners in RU1, RU2, RU4, RU5, C3 and C4 zones additional flexibility to site detached Dual Occupancies on their land, under one title (no subdivision). I am very pleased that the Chamber voted unanimously (this time) to advance it to the State Government’s “Gateway” process. The waiting game began, but I remained confident that the State government will look favourably on it.
Then, I got unexpected calls from two old friends and colleagues. The first was Mark Hornshaw, a former Hawkesbury lad and now Councillor on Port Macquarie-Hastings Council. He had seen what we started in the Hawkesbury and wanted to move a similar motion at his Council. He did, and it passed.
The next call was from John Ruddick. Mark, John and I are all ex-Libs, with John going on to unexpected but pleasing success being elected to the NSW Upper House as a member of the Libertarian Party. He felt that what we started in the Hawkesbury is such a good idea, it should be implemented state wide. I was chuffed.
The “Select Committee on Rural Housing and Second Dwellings Reform” was supported unanimously by both major parties and the crossbench, making the opposition of our sole local Labor Councillor even more baffling.
It has recently held both hearings in Parliament House and a site visit to the Hawkesbury, which I was pleased to attend in order to advocate for the reform. Here is our Council’s Manager of Strategic Planning, Andrew Kearns, appearing before a hearing on December 20th.
December 2025 Update
Council were advised on the 13th of November that the Planning Proposal initiated by my motion has been conditionally approved. Councillors were not informed; I was advised by local planning expert Troy Myers (and a great advocate for this reform) that the approval was up on the NSW Planning Portal.
IRD25_29124 Attachment C - letter to Council - Gateway Determination - Dual Occupancy Planning Proposal_ PP-2025-1561I am heartened by this quote from the gateway approval:
“The Department concurs with the Local Planning Panel’s assessment that the planning
proposal has strategic and site-specific merit, provided further consideration is given to
(amongst other things) land use conflict is appropriately addressed; the preparation of a
comprehensive new development control plan chapter to assist in guiding appropriate
future development; and, demonstration that the proposal aligns with the recently
completed Hawkesbury Nepean Flood Study (Reconstruction Authority) (June 2024).
• On balance, the planning proposal holds social and economic benefits.Subject to conditions being met, it is the Department’s assessment that environmental
impacts can be prevented or appropriately managed.
• Further, subject to conditions being met, the proposal is not necessarily inconsistent with
the Regional Plan, District Plan and local planning policies and strategies.
• A planning proposal is the appropriate pathway to achieve the intended outcomes of the
planning proposal, subject to conditions.”
January 2026 Update
On January 2nd the ABC News highlighted property owners in the Hawkesbury who want more flexibility for Detached Dual Occupancy.
This print article accompanied the video story.
February 2026 Update
John Ruddick posted a video about Parliament resuming and the visit he made to the Hawkesbury and where he visited property owners who want more flexibility for Detached Dual Occupancy.
Here is John’s social media post.
So what happens next?
Council will do work between January and August 2026 to satisfy the additional requirements stipulated by the Department of Planning. The final version will be put out for public exhibition and comment from agencies. The Department has imposed a deadline of August 2026 to finalise the matter. I will be asking staff how well we can beat this deadline.
Looking back – How we got here
I’ll close by pointing you to an earlier video explainer and post I made where I laid out the issues and where we needed to move to.
In September 2021 I posted the following video and website post:
I offer this to illustrate how we pursue important or complex reforms. It takes a while, and takes persistence and a lot of networking. I am hopeful of a good result in 2026.
The 2025 Australian Federal Election - the view from Macquarie
Hawkesbury Council's delayed LEP is an embarassment
I am unhappy about the lack of progress towards our new LEP (Local Environment Plan), Council's key planning policy.
The LEP determines the kinds of and places we permit all kinds of development. It sets zonings, permitted uses and much more.
Our current LEP dates to 2012 and is no longer fit for purpose.Among the things I want to see in the new LEP, for example, are Detached Dual Occupancies.
The way this has dragged on has become embarassing. The need for a new LEP was first flagged to Councillors in October 2018, when we were presented with the attached road map aspiring to complete the process by June 2021.
Council duly completed a draft LEP and forwarded it to the NSW Government's "Gateway" process in November 2021, following six Councillor workshops, extensive consultation with State authorities, and a LEP/DCP Reference Group (industry professionals) convened for that purpose.
Then, in January 2022 at the very first meeting of the new term, a Rescission motion pulled that back. I likened it at the time to trying to pull a launched ocean liner back up on to its blocks in the dock.
This rescission motion was supported by Councillors McMahon/Richards, Veigel, Reardon, Sheather and Dogramaci, and was carried on the casting vote of then-Mayor Conolly.
This was frustrating! Why did they vote for delay? No one really knows. The reference group who helped draft it subsequently told us they didn't know why either. They were happy with it the way it was.
Other people had different theories involving keeping a weak LEP around longer.
What has followed is over three years of delay, endless tinkering and disappointment.
People have cited to me conflicting information about where the delay currently sits: With Council, or with the State Gateway process? Whose court is the ball in now?
I placed this question on notice and the attached answer is minuted in the upcoming Council meeting due to be held next Tuesday, April 8th.
This advice I have received is at variance from correspondence from the Department of Planning, who have said the delay is with Council!
Members of the public are welcome to register as speakers on this item (13.1.1) if they feel so motivated.



The Effects on Insurance Premiums from Hawkesbury Flooding and Council\'s Planning Policies
The skyrocketing costs of home insurance is a massive issue for people in the Hawkesbury.
Damage from flooding could cost us billions, but the risks of living in on a floodplain have driven up Insurance costs even when the sun is shining.
I wish people had the good sense not to build or live in areas we now recognise at at high risk of floods. But there are about 5388 houses on the Hawkesbury-Nepean floodplain that sit below the level we currently mark as the redline for development, which is 17.3m (at Windsor), otherwise known as the “One in One-Hundred” level or the “1% AEP” level. These areas include some of the most historic areas of Windsor and Pitt Town.
These people built before there was such a thing as flood height planning controls. I agree with having this standard and banning new residential building below that level. But this is a vexed issue that defies a black-and-white analysis. What if an existing homeowner below that level wants to expand or rebuild? What if it’s a non-residential structure like a shed? Or a function centre in a low-laying area like Cornwallis?
Many residents I speak to find it increasingly difficult to access and then pay for insurance. When the government says “don’t build here”, insurers take note and jack up their premiums because our policies give a green light to insurers to declare some homes to be at such a risk they refuse to insure, or offer “go away” quotations like $20,000pa.
At the March 2025 meeting of Council, we considered adopting a long-awaited new Floodplain Risk Management Study and Plan that included a recommendation to raise the minimum height for new residential builds from the “One in One Hundred” (1% AEP, 17.3m) level to the “One in Two Hundred” level (0.5%AEP, 18.53m), adding an additional 1823 existing houses to a category where it is likely that insurance prices will climb further because of that designation.
I wanted to pass the plan because it contains a good deal of updated data and excellent policy initiatives. However, the costs of sending a signal concerning flood risk and the impacts on Insurance were not something I could ignore. Council staff in their responses to these concerns effectively tried to say that Insurers don’t pay attention to what Councils do when defining and proclaiming risk. I disagreed, pointing to the fact sheet that the Insurance Council of Australia themselves issue on exactly this question, which says
“…it is up to individual insurers to decide what criteria they use to determine flood risk. They may examine information from many sources to identify properties that are prone to flooding. These may include local government flood mapping, historical flood information, terrain data and insurance claims information.” (my emphasis)
Let me repeat: I don’t want people to build in flood prone areas, and the existing rules already ban it. It’s madness to let Sydney’s pressure for development over-ride our common sense about flood risk (a risk that Governor Macquarie was opining about as far back as 1810!)
I was heartened when the Chamber was prepared to pass the plan but leave the flood height controls at the 1:100 level for now. Further investigation will explore the impacts of changing to the 1:200 level.
My remarks are in the video.

The Incredible Shrinking Hawkesbury Bridge Program
We've been sold a pup. In 2019 and 2021, to secure votes in what was at the time the most marginal Federal seat in the nation, the Liberals pledged $200M, and then $500M to build a high, flood-resilient bridge across the Hawkesbury River that would loop around North Richmond and relieve congestion at the intersection of Grose Vale Road, Bells Line and the Terrace. Now we're told by Labor that that money isn't enough. I asked a TfNSW official how much more it would cost and they refused to answer. So now they're planning to build the bridge, but dump the traffic into the main street of North Richmond, and on to Southee Road at Hobartville without the key improvements and approach roads that ought to be regarded as integral to the whole project. It's not good enough. Here, I represented the community's frustration at our recent Council meeting. I am calling on both the major party's Federal candidates, Susan Templeman MP and Mike Creed for Macquarie to ensure their parties make a commitment to fully fund part 2A and 2B of the plan to complete the whole project without a delay in between as part of their pledges in this key seat before the election.
Two Years in One Minute - A series of Hawkesbury Time Lapse Videos
Here are the products of a little project I’ve had bubbling away.
🚦 Live Traffic NSW have automated cameras all over the state, and over eight in the Hawkesbury. I programmed a script to scrape an image from each at around noon for two years (August 2022 – Dec 2024) and compiled the ~700+ images into some time lapses. Hat-tip to Transport for NSW for providing technical help to make these images downloadable.
🎥 For the geeks, stabilisation and generative upscaling was used to improve their quality.
🎱 The sharp-eyed among you may detect the shadows of tall objects describing a lopsided figure-8 ‘Analemma’ (look it up) on the ground over the course of two years, an astronomical phenomenon tracing the earth’s tilt and orbit around the sun.
🌊 Hawkesbury had floods in October 2022 (7.4m), March 2024 (9.2m) and June 2024 (8.7m), visible briefly in these sequences.
🌳 I love seeing the blooming of grass and flowers as the seasons pass like waves, like the traveller from H.G Wells ‘Time Machine’.
There are eight videos in the series.
North Richmond Bridge
Wisemans Ferry Road at Cattai Creek
Yarramundi Bridge
Sackville Ferry South
Windsor Bridge
Wisemans Ferry North
Webbs Creek Ferry
Webbs Creek West
Hawkesbury Youth Summit - Opening Address
Over a quarter of the Hawkesbury's citizens are under 24 years of age. As a teacher, I'm passionate about ensuring their interests, and their opinions, are heard. Council used to hold a Youth Summit every two years, but I was disappointed to find that we have not held one since 2017. A year ago, I bought a motion to Council to re-start holding a Youth Summit and I was delighted that it got unanimous support among my colleagues. Today was the culmination, and I was honoured to be asked by the Mayor to give the opening address of the "Hawkesbury Youth 'Festival of New Ideas'" at the Western Sydney University Hawkesbury Campus. Attending were students from Arndell Anglican College, Kuyper Christian School, Colo High School, Hawkesbury High School, Bede Polding College and Richmond High School. Also, stakeholder and youth services organisations like Hawkesbury Community Outreach Services Inc, Richmond Community Services Inc., Youth Employment Service, Hawkesbury Headspace and of course staff from Hawkesbury City Council are present to collaborate and facilitate the sessions. I'm very, very proud to support this initiative.
Throwback Thursday - the 1998 Resolve Chemicals fire at Wilberforce
The following accountappears in the December 1998 issue of the NSW RFS Publication "Bushfire Bulletin".
CHEMICAL FIRE AT WILBERFORCE
At 2216hrs on Sunday 12th July, 1998, Hawkesbury Fire Control received advice from 000 of a structure alight in the Woodlands Industrial Estate, WIiberforce. The township of Wilberforce has over 100 homes and light industry and is located In the City of Hawkesbury approximately 60km north west of Sydney.
The local Wilberforce Rural Fire Brigade responded at 2220hrs with their Cal.1 and Cal. 7 tankers. En route to the fire we observed a large orange glow and thick black smoke In the direction of the industrial estate, At this stage we realised that this was no ordinary structural fire.
Upon arrival at 2227hrs, our worst fears were confirmed. We found a large factory complex on fire inside the Woodlands Industrial Estate. We observed that the fire was extremely volatile, showering exploding material on an area approximately 100m from the main fire.
Fortunately, the Brigade had prepared a comprehensive pre-fire plan of the industrial estate six months earlier. From the plan we identified the factory complex on fire as a liquid drum recycling plant.
The plan confirmed that a substantial number of drums containing dangerous goods was stored on the site, including drums of ethanol, white spirit, mentholated spirits, thinners and other flammable substances, creating a dangerous cocktail during the fire.
At this lime a detailed sitrep was provided to Hawkesbury Fire Control and a request was made for urgent assistance.
The Police arrived shortly after and immediately arranged to evacuate an area within a 1 km radius of the fire. Police also directed their efforts at controlling large numbers of spectators and road closures.
Due to the size and ferocity of the fire and the known dangerous goods on-site, it was decided very early to pull back to a safe location and determine a defensive strategy to contain the fire. A command post was established 200m from the fire area. As further fire and other emergency service units arrived, a staging area was established to manage the incoming units until an overall strategy was developed.
At the command post, the fire was declared a hazardous materials incident. As the NSW Fire Brigade is the designated combat agency for managing hazardous materials incidents in NSW, responsibility for control of the fire was passed over to the senior NSWFB Inspector on site, with Hawkesbury RFS taking on a supporting role. The NSWFB, in collaboration with Hawkesbury RFS decided upon a strategy to cool the fire from two locations using ground monitors. It was also decided to isolate the power to the estate and boost the reticulated water system to establish increased water pressure.
Hawkesbury RFS units were deployed to a safe location on the upwind side of the fire with a total of 9 tankers relay pumping from a dam to supply three ground monitors. NSWFB units utilising breathing apparatus were deployed on the downwind side of the fire using reticulated water to supply ground monitors and hose streams.
The fire continued to burn for many hours into the following morning. At approximately 0600hrs the majority of the RFS units were stood down by the NSWFB. Wilberforce Rural Fire Brigade remained on the scene with a small number of NSWFB units.
At the height of the fire, Hawkesbury RFS had committed 8 Brigades. 2 Group Officers, DFCO and the Catering unit. A total of 554 manhours were spent by Hawkesbury RFS fighting the fire. The NSWFB committed 10 pumpers, 3 BA, lighting and Hazmat units, Sky Jet, Fire Command bus and Media Liaison unit. Other services at the scene included the EPA, Sydney Water, NSW Health Department, local Council, Workcover, Police and Ambulance.
The total area destroyed by the fire was approximately 1 ha, including an adjoining factory unit. This does not include the immediate and potential long-term damage from chemicals to the local creeks and the wider catchment. At the time of writing this report, the cause of the fire is yet to be determined, however investigations are continuing. De-contamination and clean-up of the area has commenced with the EPA and NSWFB Hazmat unit overseeing the works with assistance from Wilberforce Rural Fire Brigade and the local SES. The EPA has also commenced monitoring and testing of the local creeks to ascertain the extent of contamination.
This was by far the single largest chemical fire in the Hawkesbury to date. The potential for serious injury and greater property damage was ever present. However, it was without doubt, the quick response of the Hawkesbury RFS and other emergency services combined with earlier pre-fire planning, judicious fire ground management and excellent co-operation between the services that averted what could have been a major disaster.
Pre-election Interview with Shaun Willams of Hawkesbury Radio
Meet Donna Pellew - Candidate for Hawkesbury Council with GROUP "H"
We want you to know more about my running mate for GROUP ‘H’, Donna Pellew, so I recorded this brief interview with her.
Lost opportunities and broken promises – The case for change

Today, I bring you the editorial I wrote for the August edition of the Hawkesbury Post.
Between them, Liberal and Labor have held the Mayoralty on Hawkesbury Council for seventeen of the last twenty years, with effective control of the chamber.
Some would say, it shows. Before the Parties got their stranglehold on Council, many people remember the popular mayorship of the late Dr Rex Stubbs, who was a much loved and respected, and more importantly, independent Mayor. I remember when someone in the chamber was being overly self-important, he would simply look over his glasses and smile at you with his eyes, silently letting you in on the unspoken joke. I miss him so.
This term of Council led by two Liberal Mayors, Patrick Conolly and Sarah McMahon must surely stand out as three years of missed opportunities and disappointment.
Firstly, the entire term has elapsed without a new LEP. Our ‘Local Environmental Plan’ is our main planning policy which shapes the future of our community and ensures development is done appropriately. Our current and antiquated LEP dates to 2012 and is no longer fit for purpose. A new LEP would have introduced a raft of changes including scope for detached dual occupancies and granny flats in more places, and stronger protection for our heritage and the environment.
The previous term of Council finalised work on a modernised LEP and dispatched it to the NSW Government for polishing as one of its last acts in late 2021. The Liberal and Labor bloc, as literally the first thing they did at the beginning of this term when they solidified control of the chamber, was to pull it back for ‘further work’. It hasn’t seen daylight since, which is an abject failure of leadership.
Then the Liberals ensured the passing of the “Rural Boundary Clearing Code”, a disastrous policy that allows the clear felling of trees on properties, including Koala habitat, self-assessed by landowners, and with no monitoring by Council given that no funds were allocated for geospatial tools to track tree cover in the LGA. There is evidence that developers have used this policy to remove vegetation on properties for subdivision.
This Council has presided over a $32.5 million blowout for the repair of a single sewer pipeline across South Creek. It came within a breath of reneging on a promise to seal Packer Road, a key pledge it linked to the special rate variation that hiked everyone’s rates by a 31.3% starting in 2018.
Council’s long term financial position is weakening, with an infrastructure backlog running into the tens of millions, meaning our ability to repair roads and maintain facilities will diminish. I predict the next Chamber will confront the unwelcome necessity of another rate-hike, hitting ratepayers already struggling with the cost of living.
Lastly, the Liberal and Labor bloc rescinded a measure I had passed which would have reported on Councillor attendance not just at chamber meetings, but workshops, committees and briefings, plus their expenses. I think people expect that kind of accountability and transparency from their elected representatives.
Ronald Reagan used to say that nappies and governments should be changed regularly, and for the same reason. Independents don’t have a magic wand to fix seventeen years of neglect, but they demonstrably offer leadership which is more engaged, more respectful and more reflective of the community’s aspirations. This is why I ask all Hawkesbury residents to start conversations with their friends about whether, even for those with a rusted-on loyalty to a political brand, they should bench the major parties this time and give some others a go.
Thank you to Superintendent Karen Hodges AFSM for your service
The early history of the Richmond School of Arts
Many years ago I was studying local history as part of my Bachelor of Arts degree at the University of Western Sydney.
I wrote a monograph on the early history of the Richmond School of Arts building, one of our architectural gems opened in 1866 and still operating today.
Because of my long association with the Richmond Players Dramatic Society and even a short stint on the committee of the SOA (the Richmond Literary Institute), the history of this beautiful building is very dear to me.
I was also successful in gaining large grants to upgrade the sound and lighting in the building at times.
Here is the historical piece I wrote if it is of interest. (Direct download link to PDF is here).
The early history of the Richmond School of Arts - Nathan ZamprognoThe Cure for Toxic Politics is just an Election Away
Today, I bring you an editorial column I was invited to write for the latest edition of the Hawkesbury Post.
Check out the online edition of the paper here, or pick up your free print copy from the usual places. And please; support the local businesses that advertise in our local paper!
"Have you noticed how nasty politics has become? I’m tired of it, and I suspect you are too.
People used to be willing to admit that people of differing convictions are capable of being honourably motivated. So why has a conversation about ideas been replaced by recrimination and litigation? Blame politicians who declare the press to be their enemy, shrug off any negative commentary as ‘fake news’ and endlessly play the victim card when called to account. Donald Trump has a lot to answer for, and we shouldn’t reward those who now emulate him.
Perhaps this hyper-partisanship comes from social media and the age of misinformation we now inhabit, along with the shorter attention spans our device-addictions have given us.
When I teach my students about critical thinking and ethics, I start by asking them to put up their hands if they’ve ever received a scam email, text or phone call. Almost always, every hand goes up.
This starts useful conversations about evaluating truth claims, wherever they come from. Is the caller claiming to be from my bank trustworthy? Is vaccination safe? What should we do about the environment? Is that charismatic, rolex-wearing pastor just filling his pockets? Which party and their policies will leave a better world for our kids? Teaching is as much about encouraging sceptical and evidence-driven habits of inquiry, as it is about ‘right answers’. It’s satisfying to see ‘lightbulb moments’ in the faces of young people, and this keeps me upbeat. It convinces me that people want to care deeply, if information is put before them in a way that respects their intelligence and invites their engagement.
Time-poor people often use the shortcut of picking a political brand to make sense of the world. 66% of voters voted for a Party at the last Council elections in 2021, winning nine out of the twelve positions on Council. Before 1995, there were no parties on Council, just twelve good citizens. Perhaps we should return to that.
When I speak to locals, many report disenchantment because of a perception that there is no longer any meaningful difference between the Labor and Liberal parties on Hawkesbury Council. For many years they’ve regularly backed each other in to stitch up the positions of Mayor and Deputy Mayor, lock others out of committees (and recently, abolish them), and have spent their time backing policies that are sharply out of step with their grass roots, whether that’s on the environment, or heritage, or development, or accountability.
It’s one thing to be collegiate, but this looks increasingly like a racket.
Fortunately, Aussies can spot such inauthenticity a mile away.
Many of those elected on party tickets would never be elected under their own steam, and contribute very little to chamber debate. It seems likely that the candidates the Liberals will offer up won’t even be the subject of a preselection or a face-to-face meeting to endorse the ticket, leaving their aging and dwindling membership put out that they are expected to show up on election days, pay up, and shut up, robbed of any debate about whether these candidates meet their approval.
After 32 years in the Liberal Party, I confess I was for too long complicit in this pantomime, but I’ve been strongly encouraged by many since finding my independence and my voice, even though this has come at some personal cost. Clearly, the feeling isn’t isolated, evidenced by the decade-on-decade decline of the Labor-plus-Liberal vote from 98% in the postwar period to 68% at the 2022 Federal election.
Modern voters are now far more a-la-carte about their politics. Each of us can find positions we agree and disagree with within the Liberals, Labor and even the Greens. That’s why we get angry when politicians don’t work together.
At my school, as on Council, we think a lot about building ‘culture’. I dream of the Hawkesbury as a city with high social capital, respect for both the natural and built environments, a respected and engaged citizenry, naturally low crime, where growth is guided by need and not greed, where our focus is properly on the basics like roads and equitable rates, but where those in need or distress find themselves promptly surrounded by practical and moral supports.
Council has a role in fostering such a culture. But it can’t come if our elected leaders bicker like schoolchildren, cynically use their platform for higher ambition, or limit the reporting of data that shows who turns up and votes which way. Voters deserve a Council where the views, skills and life-experience of all twelve members are valued.
Thankfully, all such problems can be solved with an election."
Nathan Zamprogno is an independent Hawkesbury Councillor and local high school teacher.

The 2024 Federal Redistribution for Macquarie - for people in a hurry!
On June 14th the Australian Electoral Commission released their proposed new seat boundaries in NSW for the upcoming Federal election.
You may have seen headlines about the seat of North Sydney being abolished, and NSW losing a seat overall in the Parliament, but what does the redistribution mean for people living in the Hawkesbury and the Blue Mountains, in the seat of Macquarie? I've crunched the numbers so you don't have to.
Interview on local radio Hawkesbury Radio with "Sparky Sean" Carroll
I sat down with "Sparkie Sean" from Hawkesbury Radio to talk about a range of issues. The wonderful Hawkesbury Gas-lamp festival, development, the Lower Portland Ferry, and the political environment in the current Council are all discussed.
Interview with 104 year old veteran Bruce Robertson at RAAF Richmond
Interview on local radio Pulse FM with Kathryn Gene
On Monday Pulse 89.9FM Radio presenter Kathryn Gene interviewed me on air about local issues in her segment ‘In Topic’.
The Hawkesbury River Flood of April 2024
A rare “rain bomb” again plunged the Hawkesbury-Nepean River and the communities that live and work along its banks into crisis between April 5-7, and another flood washed through the area.
Now the waters are subsiding, we have a sense of the scale of this flood compared to others occurring in 2021 and 2022.
| Date | Flood height (Windsor guage) |
|---|---|
| April 2024 | 9.4m |
| Oct 2022 | 7.384m |
| Jul 2022 | 13.9m |
| Apr 2022 | 9.07m |
| Mar 2022 | 13.714m |
| Mar 2021 | 12.912m |
| Feb 2020 | 9.225m |
| Feb 1992 | 10.82m |
Fixing a local eyesore - the Telstra phone exchange in Richmond





Launch of the "futureofthehawkesbury.com" website
This year is a Council election year.
The biggest question facing us is this: What do you want the future of the Hawkesbury to be?
We want the Hawkesbury to thrive, with vibrant town centres and well maintained roads. We want to look after our heritage and our environment. But the biggest thing Council will ever take a position on is how many more houses will we build in our city. There are developers who want to build thousands more houses in our city, on both sides of the river.
You shouldn't believe that more urban sprawl can’t be avoided, or that if we share our views, we won't be heard.
So I'm launching "futureofthehawkesbury.com", a new website. Its job is to host surveys and petitions to gather the widest ever spread of your views about roads, development, the environment, child-care and other matters on which Council can make a difference.
In late 2020, Council debated our housing policy. We know the suburbs along the south-eastern boundary of our city (like Oakville, Vineyard and Maraylya) are on the front line of the pressure for more development. Look at what's happening along Windsor Road, and on the eastern side of Boundary Road.
The pressure for yet more areas to be subdivided is splitting our community. I recognised that some are in favour of subdivision, and some against. In that debate I said the simplest and most courteous thing we should do, and especially in those suburbs, is ask everyone what they want the future to look like. I was voted down. More recently, I re-floated the idea of a comprehensive survey asking what people's views on development were, and it was clear I wouldn't have the numbers to pass it in the chamber.
I have my theories. Those against development worry that even asking the question opens a can of worms. Those for development worry that a properly comprehensive survey will prove that a majority of Hawkesbury residents are against it.
But the website is about more than that. If there's an issue you think Council is neglecting, and you want to prove that the community are united in demanding action, sign one of the petitions we're kicking off with, or suggest your own.
This September will be the most consequential Council election in the Hawkesbury's history.
Watch this one-minute introduction, and then head on over to the website. Be engaged, and be heard.
Should the Hawkesbury become part of the Sydney ant-hill?
The March edition of the Hawkesbury Post contains a text version of this article. This video version is intended as a richer, shareable version.
As a high school teacher, I like to run a lesson about an obscure concept called ‘the Tragedy of the Commons’.
It starts with buying milk at the shops. There you are in Coles or Aldi. Two bottles of milk sit next to each other, one with a use-by date five days from now, and another with ten. You know that you’d easily get through either bottle before the due date, but you do what most people would do, and reach for the freshest milk regardless.
Economists have long known that this is how people behave. Understandably, people make decisions that are best for themselves in that moment; the broader good of society isn’t on their mind.
The problem comes when everyone makes those ‘best for me’ decisions. In our example, perfectly good milk just a couple of days older gets left on the shelf until it ages past its use-by, spoils, and is thrown out.
I offer my students this metaphor as a stimulus, not merely to give them a complex about buying milk. I encourage them to find connections between the story and larger, more serious real-world issues. When we over-fish the oceans, power our society with resources we know will someday run out, overuse antibiotics, or sacrifice agricultural land for housing without regard to the sustainability of these choices, then we are playing out the same ‘tragedy of the commons’ on ever larger stages. Our individual decisions remain rational and yield us short term ease and comfort. But they are collectively bad for our descendants because the bill is generationally deferred.
This is never more obvious than when we consider Sydney’s boundless addiction to urban growth.
Former Labor Premier Bob Carr famously declared that Sydney was “full” back in 2000. Since then, Sydney has grown by another third. That’s over 1.3 million people. Carr’s successors in the current Labor government manifestly no longer share his assessment, secretly targeting a range of suburbs for massive new growth and unprecedented densification. Are we next?
The risks of fire and flood strongly bracket what kind of growth the Hawkesbury can endure. Hawkesbury Council’s housing policy suggests we could build more medium density housing around our major centres of Windsor and Richmond.
However, State Planning Minister Paul Scully is sending conflicting messages to us, writing on the one hand to our Mayor to enjoin us to do our share in creating 377,000 new housing commencements by 2029, and yet warning us that a new Floodplain Evacuation Study places strong constraints on how much development the Hawkesbury can sustain. I think we need much clearer guidance about what is being expected of us.
Many of you now face a daily multi-hour commute, plus an annual toll bill running into the thousands just to get to work. The alternative is to brave our rail line which lacks a promised connection to the Metro at Schofields, offers no express trains, poor parking, and which has had no upgrade since electrification in 1991. Already-approved housing developments will only exacerbate this problem – lamentable considering we are still catching up on the infrastructure necessitated by the last decade of growth.
Worse, the Hawkesbury’s youth are being squeezed out of their ability to remain in the communities that they grew up in and feel an affinity for, increasingly unable to afford to either buy or rent. Many are forced to move away, increasing social isolation and losing the benefits of family support.
Council could do more to ease this by implementing affordable housing mandates in new estates, diversifying our housing mix, and permitting more generous granny flats and secondary dwellings on house blocks under one title. I have supported such changes, but progress has been far too slow.
However, the biggest factor in this squeeze, and only grudgingly admitted by politicians, is Australia’s level of migration.
A post-COVID surge saw a record-breaking annual 615,400 arrivals to mid-2023. After accounting for departures, deaths and births, overseas migration represents 77% of Australia’s population growth (data: Federal Centre for Population Projections).
Astonishingly, in NSW the figure is closer to 98% (data: .id research, Dec 2023). Read that again: 98% of all the pressure for new housing, associated infrastructure and congestion in Sydney comes from overseas growth. Think about that when you’re stuck in traffic, and for heaven’s sake, think about it when you vote.
Governments at every level have had this infatuation with ‘growth at any cost’ since the end of World War 2, spurred by some economists, developers and their lobby groups. For example the Urban Development Institute talks incessantly about the need to unlock land supply, fast track approval pathways, lower infrastructure co-contributions while increasing the density and height limits on tenements.
All these factors affect the supply side, yet they studiously ignore the demand side caused by migration. They ignore a fundamental truth – No growth is limitless. In biology we call a body that seeks to grow without bound ‘cancer’.
Sadly, Labor and Liberal governments have been happy to march to this tune. They claim that housing unaffordability is the price we pay for the stimulus to the broader economy, and to the construction sector in particular. These and other concerns like balancing the intergenerational ratio of taxpaying Australians to retirees and pension recipients are valid, but if there are winners and losers in such national tradeoffs, too many of the losers seem to be concentrated at the outer fringes of our major cities, where we suffer congestion and crushing cost-of-living challenges.
Skilled migration should be a part of Australia’s future, but 615,400 arrivals – most of whom gravitate to Australia’s major cities, is too much. It would be prudent to reduce migration until the infrastructure backlog is addressed, and proper incentives formulated to encourage new arrivals to settle in Australia’s regions. It’s disgraceful that despite this elephant in the room, successive governments have never set a population target, or properly investigated what Australia’s ‘ideal’ population or rate of growth should be. Every study you’ll read merely attempts to reactively model the low, medium and high growth scenarios that ‘might’ happen because there is no population policy, and never has been.
If you drive through the ‘instant suburbs’ that have sprung up near the Hawkesbury, we see a style of development that is neither pleasing to the eye, nor representative of anything we should seek to emulate. Tiny blocks, no eaves, no trees, black roofs. Nevertheless, I have a growing folder of examples of realtors hawking nearby greenfield lands in the Hawkesbury to developers, tantalising them that these lands too will inevitably be rezoned and absorbed into the Sydney anthill, yielding much profit to their investors. Beleaguered landowners are faced with an invidious choice; be taxed off their land when speculation triples their land value (and therefore their rates), or give in to land-bankers who don’t care about the erosion to our sense of community.
Hawkesbury residents deserve more agency in determining the shape and scale of development in our city, rather than be carried along in the current of a fatalistic belief that more urban sprawl can’t be avoided, and will continue forever. In such a historic and beautiful area, we deserve better, and we owe better to our successors.
That process starts by ensuring that the elected representatives in our Councils and Parliaments are not in the pockets of developers.
Like the dilemma facing you in the milk aisle, our ‘tragedy of the commons’ is our addiction to unfettered growth. It might serve a logical, beneficial short term goal, but it is gradually undoing the threads of what it is that makes the Hawkesbury such a pleasant place to live.
The video version contains video courtesy of Sustainability Population Australia.
Council a step closer to honouring its pledge to seal Packer Road
Back in 2018, Council applied for (and got) a "Special Rate Variation" that put everyone's Rates up by a third.
I voted against that rate rise, as I have voted against every tax hike proposed by Council since I was elected in 2016. However, I did agree that a list of proposed capital works – improvements to local roads among them, was absolutely necessary so that the ratepayers could see where this extra money was going.
Among the proposed projects that would be funded was the sealing of Packer Road, a key east-west road linking the Putty Road travelling north from Wilberforce, and the river communities of Lower Portland, Cumberland Reach and Sackville.
Locals have long anticipated the sealing of this road, citing its heavy use, status as a flood evacuation route, and parlous condition, which has sadly included injuries and fatalities over the years.
Planning work commenced, including a budget variation of $100,000 in the December quarter of 2020 to scope and plan works. The road was listed in Council's capital works budget for 2020-2021 with a cost of $2,226,000.


COVID hit, along with fires and floods between 2020 and 2022, and Council's plans were greatly affected.
Fast forward to early 2024, and users of Packer Road were entitled to know where this was up to. Finally, the matter came back to Council on February 13th and everyone was hugely concerned to find that Council staff were now recommending that the project be dropped, due to a significant increase in the cost of the project from $2.2M to over $4.7M (source: Item 4.5.3, Feb 2024 business paper)

This brought a spirited response from the local community, with many of them writing, calling and attending the Council meeting.
I am very pleased that Council on this occasion rejected the advice of staff and formalised our commitment to sealing Packer Road, despite the increased cost. I believe it is important for Council to honour its promises. Sadly, with limited resources, other worthy road projects will now be deferred, which I successfully amended be the subject of a workshop with Councillors and staff.
Here is a sampling of the debate before the Council chamber as we discussed this:
The NSW Government's push to build 8 story flats in your suburb

The NSW Labor government is targeting a range of suburbs for massive new urban growth and unprecedented densification. They’ve announced a proposed policy of massive flat-building to meet a target of 377,000 new homes by 2029.
For those who wonder what the proposed rule changes could look like in the Hawkesbury, check out this map, presented to Councillors at a recent briefing.
We discussed this at Council last night and voted overwhelmingly to oppose this.
Here’s what the changes propose:
Three zones are identified: “Town Centres” (most of our larger suburbs); “Commercial Centres” (Windsor and Richmond), and all train stations (6 in the LGA).
If the new rules pass, Councils would lose the right to refuse new flat developments of up to 21m (up to 8 stories) within 400m of such zones and 16m (5 stories) within 800m. “Cookie cutter” designs from an approved “Pattern book” would enjoy expedited approval, tending to favour bland sameness in designs built to maximise profit.
Some buildings would only mandate 0.5 car spaces per dwelling.
Worst, these rules would summarily override Council’s LEP and DCP controls.
This is spectacularly rotten policy that fails utterly to understand the character of the Hawkesbury. Residents have told us for decades that our semi-rural outlook is a key factor in our charm and desirability as a place to live and work. The State government has failed to provide enough detail for us to respond to their demand for a detailed response. For example, the interaction of the proposed policy with known constraints in our area caused by flood, flood evacuation and fire risk has not been explained at all.
Former Labor Premier Bob Carr famously declared that Sydney was “full” back in 2000. Carr’s successors in the current Labor government manifestly no longer share his assessment. Yes, there is a housing, and housing affordability crisis. But I’d prefer the government was more honest about admitting that fully 98% of the pressure for housing growth in NSW comes from overseas migration and not from the organic growth of our own populace. This is something I will have a lot more to say about soon.
Upon leaving the Liberal Party
MEDIA RELEASE
Tuesday, 5th September 2023

MEDIA COVERAGE UPDATE: This story has received some coverage in the Press and I am gratified that it has been so balanced and supportive.
Mayor behind Liberal Councillor’s dumping (Sept 5th)
Zamprogno finds support, two more councillors publicly attacked by McMahon (Sept 8th)
Liberal Party move to expel Councillor over Grose River Bridge (June 22nd)
This week I was informed that I had been expelled from the Liberal Party, an organisation I have been a member of and servant to for 32 years.
This follows a years-long orchestrated campaign of bullying from a minority within the Party.
People in the Hawkesbury expect their Councillors to be focused on the issues, such as the condition of our roads, how high their rates are, and in making the Hawkesbury a pleasant and prosperous city as we continue to recover from multiple disasters. They expect their Councillors to work together as a team for the benefit of all. It is frustrating to have to deal with petty attacks and I resent the distraction.
However, what has happened raises important questions about integrity.
The motion to expel me was forced before the State Executive of the party by Hawkesbury City Mayor, Sarah McMahon, who used her position as Vice President of the NSW Division to bypass the State Director Chris Stone, who had previously declined to act on McMahon’s complaints, finding them to have insufficient merit to place before the Executive.
Throughout my adult life, the Liberal Party has been an easy ideological home because I support the Party’s principles of individual rights, efficient and competent government, supporting small business, and a generous view of Australia’s history and destiny.
Leaving is therefore a bereavement, but also a relief. It no longer places me in the position of having to defend the indefensible. I am a schoolteacher by vocation, and the subject of my Masters degree was the teaching of ethics and critical thinking. Because of this, I find myself unable to walk past the standard of conduct that I see by some in the Liberal Party.
I am troubled that the evidence tendered by Clr McMahon as justifications for my expulsion from the Party included statements I have made in the Chamber and elsewhere about planning matters before Council, where Councillors should enjoy a free vote to judge matters on their merits, without threat of punishment. This includes the Seniors Living Development in Vincents Road at Kurrajong, a Planning Proposal brought to the chamber by McMahon's developer boyfriend Matthew Bennett and his family. Clr McMahon had already declared a significant pecuniary interest in that matter, and she and two other Liberals recused themselves with declared conflicts of interest when it came to the Chamber.
My stances on these planning matters are specifically cited by Clr McMahon as reasons for me to be kicked out of the Party.
Further, it seems clear that Clr McMahon’s motivation was in part to pre-emptively assassinate a rival. I had been asked by respected figures within the Party to contest the Liberal preselection for the Federal seat of Macquarie and I was considering my position (nominations have not yet opened). The party has retreated after two disastrous elections where Clr McMahon was gifted the candidacy twice, both without a preselection or an endorsement meeting of local branch members – a breach of the party Constitution. She was the “Captain’s pick” of Scott Morrison. The swing of 7.58% to Labor in Macquarie at the last election was double the national swing against the Liberals, and easily the worst swing in any must-win marginal seat in NSW.
The attentive Labor MP Susan Templeman has presented a more articulate candidate on both occasions, and is in the process of making this a safe Labor seat. I lament that voters in Macquarie have been left with such poor alternatives.
Fortunately, I have my own story to tell. I was elected to Hawkesbury Council on the Liberal ticket in 2016 and re-elected as an independent in late 2021. When I sought to remain as a member of the Liberal ticket, I was summoned to a meeting of the elected Liberals in May 2021 to discuss arrangements. When I arrived in the Mayor’s office, I was shocked to see the property developer Matthew Bennett present, and who proceeded to direct the meeting. I was told that any support I would get was conditional on me withdrawing from one of the winnable spots on the ticket, to make way for then-Mayor Patrick Conolly, who had neglected to tender his nomination paperwork on time and would therefore be excluded from standing by the Party unless a vacancy was created. Bennett also spoke of providing funding and providing manpower to other ‘friendly’ tickets to support the Liberals in the new Chamber, and spoke as one who was active in making those arrangements.
Being a team player, I agreed to withdraw from the #2 position, decreasing my chances of contending in a crowded field, and guaranteeing Conolly another term. After I signed the paper, the promised support was withdrawn, I lost the preselection for the remaining spots I contested, stood as an independent, and watched the Liberals spend the money that I had raised on their own campaign. This included the proceeds of a February 2020 black-tie dinner I hosted at Hawkesbury Racecourse with former Prime Minister Tony Abbott as our guest. Councillor Conolly later became a co-signatory on the complaint sent to the Party to have me expelled. Such are the rewards of loyalty.
At that December 2021 Council election, I neither gave nor received preferences from the Liberals. I was re-elected on a full quota – a resounding endorsement from the community. I’ve worked hard over the last seven years to be a diligent Councillor. I remain confident of my ability to represent the people of Hawkesbury simply by being myself.
I have no current ambition to contest the Federal election as an independent or so-called ‘teal’.
Where I dissented from my Liberal colleagues in the Council Chamber, it has always been in the defence of sound Liberal principles. When three out of the four Liberals voted to see the Wilcox house and farm demolished as part of the Grose River Bridge project, I was prepared to defend that family’s property rights (13/9/2022, 31/12/23).
When I was the only Liberal opposed to the adoption of the disastrous Rural Boundary Clearing Code, I believed that being a good Conservative is entirely compatible with being a good Conservationist, and that we should look after the environment (25/1/2022, 8/2/2022). There is now evidence that Developers are indeed now using the Code to clear-fell lands for reasons other than management of bushfire risk, placing Koala habitats at risk.
When I was the only Liberal to defend the retention of Council’s Heritage Committee, and the others were hell-bent on dissolving it, I believed a majority of voters, including Liberals, agreed with me about the importance of our local heritage (10/11/2020).
When the four elected Liberals voted against me to rescind a policy I had passed that would cause Council to report annually and at the end of the term about Councillor’s expenses, attendance at meetings, briefings, committees and workshops, it was in support of the principle of integrity and accountability in Government.
I remain comfortable with each of these positions, and feel a majority of people are behind me. If this is what it means to be a Liberal on Hawkesbury Council, many might suggest that I am better off out than in. What can I say? I was trying to lead from within.
Sadly, a lack of leadership has created a toxic tone in our Chamber and in the Macquarie electorate Liberal branches. Three other Liberal Councillors (Clr Brendan Christie, Clr Daniel Myles and former Clr Chris Van Der Kley) have also been pushed out of their positions in the Blue Mountains (evidence 1, evidence 2). The Liberal Party was unable to man all its Blue Mountains booths in the March 2023 State election for the first time. I spoke to each of those men within the last month. Each tell me the toxic culture has the same factional source.
Clr McMahon opines a lot about bullying, but she is the worst bully of all. I can’t fathom the insecurity shown by someone who creates fake Facebook pages (evidence 1, evidence 2, evidence 3) just to defame other Councillors or members of the local Press. Or the lack of leadership shown in wasting the time of the Police, sending them to someone’s house because someone emailed a professional complaint or wrote a critical journalistic article.
It is necessary to state that bad behavior is confined to a small number of individuals in the Party. I have many friends and supporters, including Senators and State Parliamentarians. I have always been non-factional, even when it is to my disadvantage. I continue to support our State MP Robyn Preston whose integrity, friendship and unwavering support is appreciated.
For Hawkesbury people who vote Liberal, but who value fairness, our rural heritage, and don’t want developer entanglements in their politics, I offer you an alternative. I remain a good Liberal at heart.
To my Chamber colleagues, I make an appeal for integrity, accountability, and inclusiveness.
For the many people who have expressed support for my increasingly independent worldview, I offer my thanks. I will continue to do my best.
Councillor Nathan Zamprogno MTeach BArts JP
All media inquiries to 0412 141 811 / nathan@councillorzamprogno.info
(outside of school hours 8-3 please because I’m a teacher).
The Windsor Paddlesports Club Grant saved after hanging by a thread!




I am also informed that (belatedly) the Council has confirmed the necessary "landowner consent" from Crown Lands.
The grant is not out of the woods yet, as there remains the question of whether the facility can be built within the grant monies pledged.
I will continue to advocate for a good outcome for the community.
Should development be allowed on our floodplain?
Two stories appearing recently in the media criticise Hawkesbury Council for approving DA’s on flood-prone land.
I have been flagging concerns over the statistical inevitability of another serious flood for a decade before my election to Council in 2016.
My support for raising Warragamba dam has always been paired with a demand for more stringent controls on floodplain development. There is no value in capital works for mitigation if we succumb to the temptation to lower the 1:100 limit or intensify urbanisation in areas subject to flood or flood evacuation risk.
The current ‘1:100’ dwelling-height limit of 17.3m at Windsor was introduced in the 1980s. 5000 dwellings already lay along the floodplain below that limit. They were built before flood-height controls existed. Some are in the most historic areas of Windsor and Pitt Town. Others lay low along the river at locations now perceived by everyone (including insurers) as high-risk, like caravan parks.

Some of the approvals reported in the media may be for the reconstruction of dwellings in that category and where an ‘existing use right’ is asserted, even though any new dwelling would never be approved under the current standards. Whether to permit a rebuild is a fraught issue.
Other approvals may be for new development on land that is partly below and partly above the 1:100 limit, and where the floor height of development is confined to the land laying above the limit. It’s legitimate to debate about whether this policy should be readdressed, but flood height controls are not at the discretion of Council; they are State-mandated standards that our Council follows.
‘Buy-backs’ like we’ve seen in Lismore should be on the table, and it’s frustrating that a policy offered in one area of the state is denied to ours where there is arguably greater risk.
Another solution would be to permanently change flood-height controls from the 1:100 limit to a higher one, such as the PMF (Probable Maximum Flood) which is 26.4m at Windsor.
However, we must ask at what cost these measures come. Government policies send signals to insurers. Many residents in established and historic areas of our most beautiful towns are now paying insurance premiums of tens of thousands of dollars and face invidious choices: living uninsured, going broke, or selling up at reduced value, when their houses were duly approved under the laws of the day.
Raising the flood-height limit or buying-and-demolishing existing properties would potentially raze some of our most beautiful, historic and heritage-listed suburbs. The height of the PMF is literally over the roof of the Macquarie Arms Pub in Windsor, meaning if the PMF was the applicable standard, none of Windsor would exist. This is nonsense. None of these outcomes are good enough.
Council’s response includes the adoption of a range of documents, including the recent Local Approval Policy for Caravan Parks (2023), a Flood Policy (2020, amended 2021) the Schedule of Flood Related Development Controls (2021), a Flood chapter in our new DCP (pending), and the Regional Flood Mitigation in the Hawkesbury-Nepean Valley Policy (2011).
Fundamentally, Council must adhere to the current legislative framework which has been gazetted by the State Government. Council is over-ridden by State policy on many fronts. If the State Government changes the development standards relating to flooding requirements then Council will ensure that future development in those areas will adhere to those requirements.
In my opinion the new State government have abandoned Hawkesbury residents by failing to declare what mitigation measures they intend to fund now raising Warragamba has been ruled out – the second such time Labor has done so since 1996. The NSW Premier Chris Minns has even refused to visit the Hawkesbury to explain when and how he will fulfil pre-election promises on measures like levees, and Hawkesbury's Labor candidate Amanda Kotlash even voted against a motion brought by the Mayor to ask the Premier to visit, which is crazy!
It remains undisputed that if the dam had been raised already, 80% of the 600+ dwellings that were inundated in the recent floods would have been spared completely owing to the flood-peak being 3.4-5.3m lower (p66 of the report). If alternative strategies can’t confer the same or better degree of mitigation, they should admit it and return to raising Warragamba Dam as the best option.

VIEW Club – a worthy local voluntary organisation
Fix the bloody potholes!

Council just squashed debate on protecting Koala habitats and investigating excessive land clearing
At Council tonight, a motion was brought to look at whether a land-clearing policy introduced 18 months ago has resulted in excessive felling of wildlife habitats including for Koalas. Disappointingly, some Councillors not only rejected the initiative, but moved to gag debate and prevent their colleagues from representing their community.
It is my belief that it is possible to be both a good conservative and a good conservationist. I am disappointed that some of my colleagues do not share this view.
This is what you need to know about what happened.
I have commented on this matter before when it came to Council in October 2021, and again in early 2022 when the new Council rammed through the land clearing policy against the advice of experts.
Windsor Mall - Our obligation to get things right

I have been raising concerns about the state of Windsor Mall for some time, including interviewing Darren Pead as a representative of the newly created 'Windsor Experience Action Group'.
In March 2018 Council became a signatory to the Western Sydney City Deal and were pledged $15M of State+Federal money towards ‘Liveability’ programs including town centre renewals if we brought $3.75M of our own money to the table. It was and is a good deal.
Sadly, the quality of the public consultation and proposed outcomes from upgrading Windsor Mall have left many, including myself and Councillors Sheather and Djuric, with concerns that we’ve missed the mark. I coined the term “Westfield-isation” to describe a plan that was not reflective enough of the unique heritage of Windsor. Early iterations of the plan dispensed with the gas lamps, rotunda, water-wheel and suggested street furniture with little charm or grace.

The area covered by the plans stretches from the Thompson Square dining area all the way to the railway station. This is a once-in-a generation opportunity and we need to get it right. Windsor deserved better.
Too much of the budget was consumed with replacing paving – and although some parts of the paving badly need attention, the opportunity cost was an ability to spread the budget down George Street, replace awful asphalt paving elsewhere, and add gracenotes to the precinct such as historical medallions, restoration of the lamps, and street furniture that better reflect our heritage.

To revisit the plans carries a risk. The grant has a deadline and to ask for variations means the deadline may pass. However, our Federal MP Susan Templeman has spoken about this in parliament and my gut tells me that asking for time to get this right will yield the concessions we are asking for.
Clr Sheather brought a motion at our last meeting to revisit our plans and the business paper shows this will be discussed at next Tuesday’s meeting.
I hope a majority of our colleagues will support varying the scope of works to deliver a better outcome.
This week I was pleased to meet with Windsor business owners Darren Pead, Gae Kelly and former Mayor Wendy Sledge to discuss these matters. The Windsor Experience Action Group now boasts 69 members.
Hawkesbury floods of October 2022 - Time lapse videos
Here is a compilation of time-lapse footage of nine different locations around the Hawkesbury district, showing the effects of the October floods that struck us recently. Each location has had up to a week's events compressed into under thirty seconds, comprising ~64,000 frames run together.






































